Articulo Cientifico: El Consumo de Leche y el Riesgo de Mortalidad y Fracturas en las Mujeres y los Hombres. Los Estudios de Cohortes BMJ 2014; 349:G6015
- Karl Michaëlsson, profesor 1 ,
- Alicja Wolk, profesor 2 ,
- Sophie Langenskiöld, profesor 3 ,
- Samar Basu, profesor 3 ,
- Eva Warensjö Lemming, investigador 1 4 ,
- Håkan Melhus, profesor 5 ,
- Liisa Byberg, profesor asociado 1
1 Departamento de Ciencias Quirúrgicas de la Universidad de Uppsala, SE-751 85 Uppsala, Suecia
2 Instituto de Medicina Ambiental del Instituto Karolinska de Estocolmo, Suecia
Departamento de Salud Pública y Ciencias Caring, Universidad de Uppsala, Uppsala, Suecia 3
4 sueca Agencia Nacional de Alimentos, Uppsala, Suecia
5 Departamento de Ciencias Médicas de la Universidad de Uppsala, Uppsala, Suecia
- Correspondencia a: K Michaëlsson karl.michaelsson {en} surgsci.uu.se
ORIGINAL: http://bmj.com/content/349/bmj.g6015
Abstracto
Objetivo Para examinar si el alto consumo de leche se asocia con la mortalidad y las fracturas en mujeres y hombres.
Estudios de diseño de cohortes.
Ajuste de las tres condados en el centro de Suecia.
Los participantes Dos grandes cohortes suecas, cuestionarios de frecuencia alimentaria uno con 61 433 mujeres (39 a 74 años al inicio del estudio 1987-1990) y uno con 45 339 hombres (45 a 79 años al inicio del estudio 1997), fueron administrados. Las mujeres respondieron a un segundo cuestionario de frecuencia de alimentos en 1997.
Se aplicaron modelos de supervivencia multivariable principal medida de resultado para determinar la asociación entre el consumo de leche y el tiempo para la mortalidad o fractura.
Resultados Durante un seguimiento medio de 20,1 años, 15 541 mujeres murieron y 17 252 tenía una fractura, de los cuales 4.259 tenían una fractura de cadera. En la cohorte de varones con un seguimiento medio de 11,2 años, 10 112 hombres murieron y 5066 tuvo una fractura, con 1.166 casos de fractura de cadera. En las mujeres la razón de riesgo ajustada de mortalidad por tres o más vasos de leche al día en comparación con menos de un vaso al día fue de 1,93 (IC del 95% 1,80-2,06). Por cada vaso de leche, la razón de riesgo ajustada de mortalidad por cualquier causa fue de 1,15 (1,13 a 1,17) en las mujeres y 1,03 (1,01 a 1,04) en los hombres. Por cada vaso de leche en las mujeres se observó ninguna reducción en el riesgo de fractura con un mayor consumo de leche para cualquier fractura (1,02, 1,00 a 1,04) o de fractura de cadera (1,09, 1,05 a 1,13).Los correspondientes coeficientes de riesgo ajustado de los hombres fueron 1,01 (0,99 a 1,03) y 1,03 (0,99 a 1,07). En submuestras de dos cohortes adicionales, uno en varones y uno en las mujeres, una asociación positiva entre consumo de leche y la orina 8-iso-PGF2a (un biomarcador del estrés oxidativo) y suero interleucina 6 (una principal biomarcador inflamatorio).
Conclusiones El alto consumo de leche se asoció con mayor mortalidad en una cohorte de mujeres y en otra cohorte de hombres, y con una mayor incidencia de fracturas en mujeres. Teniendo en cuenta los diseños de los estudios observacionales con la posibilidad inherente de confusión residual y revertir fenómenos de causalidad, se recomienda una interpretación cautelosa de los resultados.
Introducción
Una dieta rica en productos lácteos es promovido para reducir la probabilidad de fracturas osteoporóticas. La leche contiene 18 de 22 nutrientes esenciales, incluyendo calcio, fósforo y vitamina D de especial importancia para el esqueleto.Absorción intestinal de estos nutrientes se ve reforzada por la capacidad enzimática para digerir la lactosa en D-glucosa y D-galactosa por la mutación en el gen de la lactasa, una variante común en aquellos con ascendencia del norte de Europa. 1 2 Una ingesta de alimentos lácteos correspondiente a tres o cuatro vasos de leche al día se ha sugerido para salvar al menos el 20% de los costos de salud relacionados con la osteoporosis. 3
Un alto consumo de la fuerza de la leche, sin embargo, tiene efectos no deseados, ya que la leche es la principal fuente dietética de D-galactosa. La evidencia experimental en varias especies animales indican que la exposición crónica a la D-galactosa es perjudicial para la salud y la adición de D-galactosa mediante inyecciones o en la dieta es un modelo animal establecido de envejecimiento. 4 5 6 7 Incluso una dosis baja de D- galactosa induce cambios que se asemejan a envejecimiento natural en animales, incluyendo acortado tiempo de vida causado por el daño estrés oxidativo, la inflamación crónica, la neurodegeneración, disminución de la respuesta inmune, y el gen de cambios transcripcionales. 5 7 Una dosis subcutánea de 100 mg / kg de D-galactosa acelera la senescencia en ratones. 5 Esto es equivalente a 6-10 g en los seres humanos, que corresponde a 1-2 vasos de leche. Basado en una concentración de lactosa en la leche de vaca de aproximadamente 5%, un vaso de leche comprende de aproximadamente 5 g de D-galactosa. El aumento del estrés oxidativo con el envejecimiento y la inflamación crónica de bajo grado no es sólo un mecanismo patogénico de la enfermedad cardiovascular y el cáncer en seres humanos 8 9 sino también un mecanismo de pérdida ósea relacionada con la edad y la sarcopenia. 9 10 La alta cantidad de lactosa y, por tanto D- galactosa en la leche con influencias teóricas sobre los procesos como el estrés oxidativo y la inflamación hace que las recomendaciones para aumentar la ingesta de leche para la prevención de las fracturas de una contradicción concebible.
Debido al alto contenido de lactosa en la leche, la hipótesis de que el alto consumo de leche puede aumentar el estrés oxidativo, que a su vez afecta el riesgo de mortalidad y la fractura. Meta-análisis de estudios de cohorte para la asociación entre la ingesta de productos lácteos y la leche en relación a la mortalidad 11 y fracturas 12 13 han mostrado un patrón claro de riesgo, y la evidencia de los ensayos aleatorios son insuficientes. La separación de la ingesta de leche a partir del consumo de otros productos lácteos puede ser de importancia ya que se espera una inducción menos pronunciada del estrés oxidativo y la inflamación en los seres humanos con queso y productos lácteos fermentados (por ejemplo, la leche y el yogur estropeara) debido a su baja o no lactosa existente y galactosa, 14 15 posibles efectos antioxidantes probiótico y anti-inflamatorias, 16 17 18 y los efectos sobre la microbiota intestinal. 19 20 21De hecho, un alto consumo de productos lácteos fermentados se ha asociado con un menor riesgo de enfermedades cardiovasculares, 18 22 23 24 mientras que una alta ingesta de leche se relaciona con una tendencia de un perfil de riesgo desfavorable para el desarrollo de la diabetes y la enfermedad cardiovascular. 18 23 24 , por tanto, se evaluó la relación entre el alto consumo de leche con riesgo de muerte y fracturas en las mujeres y los hombres.También se estudiaron los marcadores biológicos de estrés oxidativo y la inflamación en relación con la ingesta de leche en los seres humanos.
Métodos
Utilizamos dos cohortes de base comunitaria, la sueca mamografía cohorte 2526 y la cohorte de hombres suecos, 27 para analizar la asociación del consumo de leche y las tasas de mortalidad y de fractura. Figura 1 ⇓ muestra la muestra del estudio. En 1987-1990, los 90 303 mujeres de edades 39 a 74 años que residen en dos condados suecos (Uppsala y Västmanland, tanto en el centro de Suecia) recibió una invitación postal a una mamografía de rutina. Adjunto a esta invitación fue un cuestionario que abarca tanto la dieta (alimentos cuestionario de frecuencia) y el estilo de vida, que se completó en un 74% de las mujeres. En 1997, una posterior, cuestionario ampliado se envió a los que aún vivían en el área de estudio (tasa de respuesta del 70%). En el presente estudio 61 433 mujeres de la cohorte sueca mamografía con datos de referencia 1987-90 y 38 984 con información actualizada de 1997 estaban disponibles para su análisis.
La cohorte de hombres sueco fue creado en el otoño de 1997. Todos los hombres, de 45 a 79 años, con domicilio en Örebro y Västmanland condados en el centro de Suecia fueron invitados a participar en el estudio (n = 100 303).Adjunto a esta invitación fue un cuestionario que abarca tanto la dieta (alimentos cuestionario de frecuencia) y el estilo de vida, que fue completado por 48 850 hombres. A pesar de la tasa de respuesta del 49%, la cohorte de hombres sueco se considera representativa de hombres suecos en este rango de edad en cuanto a la distribución por edad, nivel educativo, y la prevalencia de exceso de peso. 27Después de las exclusiones, la muestra final incluyó 45 339 hombres ( fig 1).
Gráfico de la figura 1 de flujo de muestras de estudio
Cuestionarios de frecuencia alimentaria
Los participantes informaron de su frecuencia media de consumo de hasta 96 alimentos y bebidas durante el año pasado, 25 27 28 , es decir, cuántas porciones, un día o una semana, se consumen de alimentos comunes, como la leche, la leche fermentada, yogur , y queso. Se han dado instrucciones para que una porción de leche correspondía a un vaso de 200 ml. En el primer cuestionario en el Diccionario Sueco Mamografía cohorte se especificó previamente las categorías, pero en el segundo cuestionario y la utilizada en la cohorte de hombres suecos, los participantes podían rellenar el número exacto de porciones de los productos lácteos (leche, leche fermentada, yogur , y queso) que consume un día o una semana. El consumo de leche se ha especificado de acuerdo con el contenido de grasa, y resumió la ingesta en una sola medida que representa el consumo total de leche en una escala continua. Se estimó la ingesta de nutrientes de multiplicar la frecuencia de consumo de cada alimento por el contenido de nutrientes de los tamaños de las porciones específicas por edad y los datos de referencia obtenidos de la base de datos de Suecia Agencia Nacional de Alimentos. 29 El método residual se utiliza para ajustar todas las ingestas de nutrientes para la ingesta total de energía. 30 De acuerdo con los estudios de validación de la ingesta de leche, la correlación entre el cuestionario de frecuencia de alimentos y cuatro, siete alimentos día registra cada tres meses, una referencia estándar de oro, ha sido de aproximadamente 0,7. 31 Por otra parte, en ambos sexos, hemos encontrado una asociación positiva entre ingesta reportada de leche y el contenido de tejido graso de ácido pentadecanoico, un marcador biológico que es promedio el consumo a largo plazo de la grasa de la leche, es decir, presente en la leche y los productos lácteos fermentados. 32 33
Resultados
Se consideraron los resultados registrados entre el ingreso al estudio (fecha de la mamografía de cribado en 1987-1990 para la sueca mamografía cohorte y el 1 de enero de 1998 para la cohorte de sueco hombres) y 31 de diciembre de 2010. Seguimiento hasta que la muerte fue a través de la causa sueca de registro de defunciones . Vinculación completa con el registro es posible por el número de identificación personal proporcionada a todos los residentes suecos. Utilizamos la causa subyacente de muerte por la causa sueca de registro de defunciones para definir la mortalidad por todas las causas, las enfermedades cardiovasculares (Clasificación Internacional de Enfermedades, décima revisión; ICD-10 códigos I00-I99) y el cáncer (CIE-10 códigos C ). Para 1987-1996, hemos utilizado correspondiente códigos CIE-9. La precisión de la clasificación de las causas de muerte en el registro sueco es alta. 34
Compilamos eventos de fractura a través de la vinculación con el registro nacional de pacientes sueco. Definimos todo caso la fractura como un ingreso en el hospital o en una visita ambulatoria con códigos CIE-10 S12-S92. Casos de fractura de cadera fueron definidos por los códigos S720-S722. Utilizando un método validado previamente y precisa, separamos las admisiones para la fractura incidente de reingresos para un evento de fractura previa. 25 35 En los análisis se utilizó sólo el primer evento de fractura. Hemos mantenido los casos de fracturas debido a la sospecha de traumatismo de alto impacto en el análisis, ya que hay indicios de un aumento similar de los riesgos de bajo impacto y las fracturas de alto impacto del trauma en asociación con la disminución de la densidad ósea en las personas de edad avanzada (≥60 años). 36 37 Patológica fracturas como consecuencia de un tumor no se incluyeron como un resultado.
La comorbilidad y otra información adicional
A partir de los cuestionarios se obtuvo información sobre el estilo de vida, el peso y la altura. Para la sueca mamografía Cohorte los cuestionarios también cubrieron la información sobre el uso de la terapia de estrógeno después de la menopausia, la menopausia, y la paridad. En 1997 los cuestionarios para ambas cohortes, se obtuvo información sobre el hábito de fumar, nunca utilizar de cortisona, y la actividad física en el tiempo de ocio durante el pasado año, con cinco categorías predefinidas que van desde una hora a la semana a más de cinco horas a la semana. Esta evaluación de la actividad física es válida en comparación con los registros de actividades y datos del acelerómetro. 38Dividimos nivel educativo en cuatro categorías: <9 10-12="" a="" os=""> 12 años, y otros (como profesional).9> Vivir solo se clasifican sobre la base de estado civil (sí: soltero, divorciado, viudo / a; no: casada, conviviente). Para calcular el índice de comorbilidad de Charlson Compilamos los códigos de diagnóstico del registro nacional de pacientes. 39 40
Biomarcadores
Suplementación-D-galactosa en animales se ha demostrado que aumenta el estrés oxidativo y la inflamación. 4 5 6 7 Para evaluar la asociación entre el consumo de leche y los marcadores biológicos de estrés oxidativo y la inflamación (fig 1), se analizó, además, un subcohort clínica de la mamografía sueco Cohorte 25 . y la Uppsala Estudio Longitudinal descrito previamente de Hombres de mediana cohorte 41 Se evaluó la ingesta de alimentos por un tercer cuestionario de frecuencia de alimentos en el Diccionario Sueco Mamografía Cohorte Clínica (n = 5022; edad media 70 años) y mediante el registro de la dieta durante una semana a la edad 71 años en el Estudio Longitudinal de Uppsala de los hombres adultos (n = 1.138). En 892 mujeres (edad media 70 años) y 633 hombres (orina recolectada a los 77 años) se analizó la orina estrés oxidativo marcador de 8-iso-PGF2a, un F dominante 2 -isoprostane y un biomarcador estándar ideal de estrés oxidativo in vivo. 42 Se utilizó el suero del mismo grupo de edad en el Estudio Longitudinal de Uppsala de los hombres adultos de analizar la interleucina 6 (una principal biomarcador inflamatorio, n = 700).
El análisis estadístico
Para cada participante, se calculó el tiempo en riesgo hasta la fecha de cada resultado, la fecha de la emigración, o al final del período de estudio (31 de diciembre de 2010), lo que ocurra primero. Se utilizó la regresión de Cox de riesgos proporcionales para la estimación de la edad ajustada y cocientes de riesgo ajustada multivariable y sus intervalos de confianza del 95% para las categorías especificadas previamente de la ingesta de leche (<200 200-399="" 200="" 400-599="" a="" cada="" consumo="" continua="" corresponde="" d="" de="" el="" g="" la="" leche.="" leche="" lo="" para="" por="" que="" span="" un="" vaso="" y=""> Debido a que otros productos lácteos pueden tener diferentes efectos en la salud de la de la leche, 18 23 que estudió, además, la ingesta de leche fermentada y queso como de las exposiciones. Las hipótesis de riesgo proporcional se confirmaron gráficamente mediante parcelas de log-log. Se evaluó tendencias no lineales de riesgo utilizando restringidos cúbicos spline regresión de Cox con tres nudos situados en los percentiles 10, 50 y 90 de la ingesta de productos lácteos. 43200>
Se utilizó el enfoque gráfico acíclico dirigido 44 para seleccionar covariables adecuados para el modelo multivariable (véase el apéndice complementario figura A). El modelo incluyó la edad, el consumo total de energía, el índice de masa corporal, la altura (todo continuo), el nivel educativo (≤9, 10-12,> 12 años, otros), que viven solas (si / no), la administración de suplementos de calcio (si / no ), los suplementos de vitamina D (sí / no), siempre uso de cortisona (sí / no), un patrón dietético saludable, como se describió anteriormente 45 (continua), la actividad física (cinco categorías), tabaquismo (nunca, antiguo, actual) y el índice de comorbilidad de Charlson (continua, 1-16). Se incluyeron otras variables potenciales, tales como estado de la menopausia; La terapia de reemplazo hormonal; la ingesta de calcio, vitamina D, grasa total, grasa saturada, retinol, alcohol, potasio, fósforo, y la proteína; paridad; y fractura previa de cualquier tipo (el último en el análisis de la fractura de cadera como resultado, en un segundo modelo multivariable para evaluar si estas covariables confundidos o mediadas asociaciones potenciales). En la sueca mamografía cohorte, de los que hemos tenido acceso a la información de los cuestionarios de repetición, que el tiempo la exposición y covariables actualizamos, produciendo teóricamente asociaciones de resultado más fuertes. 46 El análisis de la cohorte de hombres sueca se basó en una sola evaluación de la exposición. El uso de los métodos de Monte Carlo múltiple de imputación de la cadena de Markov, imputamos covariables no evaluados en el cuestionario de referencia de la sueca mamografía de cohortes en 1987-1990, pero evaluadas en el segundo cuestionario en 1997 (por ejemplo, el tabaquismo y la actividad física). Se realizó el análisis de sensibilidad limitar el análisis a los datos de referencia en 1987-1990 y 1997 mediante regresión ordinaria de Cox sin información del tiempo actualizado. En un análisis de sensibilidad adicional, hemos ajustado nuestras estimaciones para el consumo de leche por leche y quesos fermentados ingestas, y viceversa.También ajustamos nuestro segundo modelo multivariable de nutrientes adicionales (excepto la lactosa) se sabe que son componentes de la leche. En consecuencia, por lo tanto, se evaluó el cambio de nuestros cocientes de riesgos después del ajuste para la ingesta de riboflavina, tiamina, niacina, vitamina B6, vitamina B12, ácido fólico, β-caroteno, hierro, magnesio, sodio, selenio y zinc.
Para evaluar la influencia de los acontecimientos que compiten, se compararon las curvas de incidencia acumulada de fractura de cadera, el tratamiento de muerte por todas las causas como competir caso, con las curvas de Kaplan-Meier de fractura de cadera en las categorías de consumo de leche. 47 A pesar de que el análisis de riesgos en competencia no se considera apropiado para el análisis causal, que era el objetivo de nuestro estudio, puede proporcionar información valiosa adicional para la predicción del riesgo. 48 Se realizó un análisis de sensibilidad adicional con cualquier tipo de vehículo relacionado incidente no fractura como un resultado (identificados por códigos CIE-10 V01-99 excluyendo fractura simultánea), que en teoría debería estar relacionado con el consumo de leche. Se evaluó si una historia de fractura se asoció con el consumo de leche en el Estudio Longitudinal de Uppsala de Hombres de mediana cohorte y si experimenta una fractura o comorbilidad entre la primera y la segunda cuestionarios de frecuencia de alimentos se asoció con el consumo de leche modificada en el Diccionario Sueco Mamografía cohorte.
Por último, se utilizó el análisis de regresión cúbica-spline para evaluar la relación entre la ingesta de leche, leche fermentada, o el yogur, el queso, la orina marcador de estrés oxidativo 8-iso-PGF2a, y suero de interleucina 6. Antes de análisis, registro se transformó ambos biomarcadores PORQUE de sus distribuciones asimétricas. Hemos ajustado las estimaciones de la edad, índice de masa corporal, consumo de energía, la educación (cuatro categorías), el tabaquismo (nunca, primero, actual), y la actividad física (cuatro categorías). Los análisis estadísticos se realizaron con STATA 11.2 (StataCorp, College Station, TX) y SAS, versión 9.3 (SAS Institute, Cary, NC).
Resultados
Tabla 1 ⇓ enumera las características de los participantes en el estudio por categorías de consumo de leche. La media de ingesta de leche al inicio del estudio en el Diccionario Sueco Mamografía cohorte fue de 240 g en el día y en la cohorte de hombres sueco fue de 290 g al día. Con el aumento de las categorías de la ingesta de leche de la ingesta reportada para la mayoría de los nutrientes, incluyendo la ingesta de energía, también aumentó, aunque el consumo de alcohol tiende a disminuir. Había generalmente pequeñas diferencias entre las categorías de consumo de leche en estatura corporal, el uso de suplementos nutricionales, estado civil, la comorbilidad, el nivel educativo, el tabaquismo y el nivel de actividad física.
Tabla 1
Las características basales de las mujeres en sueco Mamografía cohorte (1987-1990) y los hombres en la cohorte de Sueca Men (1997) por categorías de consumo de leche. Los valores son los números (porcentajes) a menos que se indique lo contrario
Durante una mediana de 22 años de seguimiento y 1 231 818 años-persona en situación de riesgo en la sueca mamografía cohorte, 15 541 mujeres murieron.La causa subyacente de muerte fueron las enfermedades cardiovasculares en 5.278 mujeres y el cáncer en 3283 las mujeres. Hemos comprobado que 17 252 mujeres tenían ningún tipo de fractura, de los cuales 4.259 habían tenido una fractura de cadera. Durante una mediana de 13 años de seguimiento y 534 094 años-persona en situación de riesgo dentro de la cohorte de hombres suecos, 10 112 hombres murieron (4.568 por causas cardiovasculares y 2.881 por cáncer) y 5.379 tenido ningún tipo de fractura; de éstos, 1.166 hombres tuvieron una fractura de cadera.
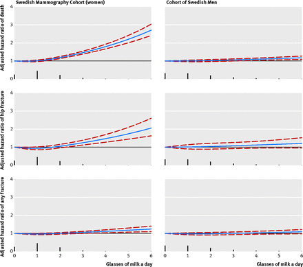
Entre las mujeres de la cohorte sueca mamografía, con el análisis sobre la base de mediciones de la exposición repetida, se observó una asociación positiva entre el consumo de leche y la mortalidad total, así como fracturas, especialmente fractura de cadera (tabla 2 ⇓ y curvas spline ajustados en la figura 2 ⇓ ). En las mujeres, se observaron mayores tasas de muerte por todas las causas (índice de riesgo ajustado 1,15, IC del 95% 1.13 a 1.17, por cada vaso de leche), enfermedades cardiovasculares (1.15, 1.12 a 1.19, por cada vaso de leche), y cáncer (1.07, 1.2 a 1.11, para cada vaso de leche) (tabla 2 y la figura 3⇓ ). El consumo de leche correspondiente a tres o más vasos de leche al día (media 680 g al día), en comparación con menos de un vaso al día (media de 60 g al día), se asoció con un riesgo relativo de la mortalidad total de 1,93 (1,80-2,06) en mujeres, con estimaciones aproximadamente similares para la mortalidad cardiovascular y algo menor para la mortalidad por cáncer (1,44, 1,23 a 1,69). Para las mujeres que consumían tres o más vasos de leche al día la razón de riesgo de cualquier fractura fue de 1,16 (01.08 a 01.25) y de fractura de cadera fue de 1,60 (1,39-1,84).
Fig 2 Sexo curvas multivariable ajustado específicas spline de relación entre el consumo de leche con el tiempo a la muerte por todas las causas, la fractura de cadera, y cualquier tipo de fractura. Las covariables fueron la edad, el consumo total de energía, el índice de masa corporal, altura, nivel educativo, que viven solas, los suplementos de calcio, los suplementos de vitamina D, nunca utilizar de, patrón dietético saludable cortisona, la actividad física, el tabaquismo y el índice de comorbilidad de Charlson. La trama pico representa la distribución de la ingesta de leche. Un vaso de leche corresponde a 200 g
Tabla 2
El consumo de leche y el momento de la muerte y la fractura en sueco Mamografía Cohorte * y cohorte de hombres suecos
Fig 3 Sexo curvas multivariable ajustado específicas spline de relación entre el consumo de leche con el tiempo a la muerte de todos los cánceres y las enfermedades cardiovasculares (ECV). Las covariables fueron la edad, el consumo total de energía, el índice de masa corporal, altura, nivel educativo, que viven solas, los suplementos de calcio, los suplementos de vitamina D, nunca utilizar de, patrón dietético saludable cortisona, la actividad física, el tabaquismo y el índice de comorbilidad de Charlson. La trama pico representa la distribución de la ingesta de leche. Un vaso de leche corresponde a 200 g
En un análisis basado en una única evaluación de la exposición, los hombres en la cohorte de Suecia Los hombres también tenían una mayor tasa de muerte con un mayor consumo de leche (tabla 2, figura 2). Sin embargo, el exceso de riesgo fue menos pronunciada que en las mujeres, con un índice de riesgo ajustado de 1,10 (IC del 95% 1.3 a 1.17) por tres o más vasos de leche al día (media 830 g al día), en comparación con menos de un vaso al días (media de 50 g al día) y se asoció principalmente con una mayor tasa de muerte cardiovascular (tabla 2 y la figura 3). No se observó una reducción en todas las fracturas o las tasas de fractura de cadera con el aumento de la ingesta de leche en los hombres (figura 2).
Otros productos lácteos
Tablas A y B en el anexo complementario muestran las características basales de los participantes en categorías de queso y productos lácteos fermentados (yogur y otros productos de leche agria). La distribución de las covariables muestra un patrón similar al de la leche categorías de admisión. En un análisis de sensibilidad, las estimaciones de riesgo de los resultados asociados con el consumo de queso o productos lácteos fermentados estaban en la dirección opuesta de las estimaciones asociados con el consumo de leche. Así, las mujeres con un alto consumo de queso o productos de leche fermentada en comparación con las mujeres con baja ingesta tenían tasas de mortalidad y de fractura más bajos (ver cuadros complementarios C y D). Para cada servicio de la tasa de fracturas de cadera y de mortalidad se redujo en un 10 a 15% (P <0 span=""> Las reducciones del riesgo en los hombres, a partir de una única evaluación de la exposición, fueron más modestos o eran inexistentes (ver cuadros complementarios C y D).0>
El análisis de sensibilidad
Se realizó un modelo multivariable extendido para evaluar si los nutrientes conocidos por estar asociados con la osteoporosis o fractura riesgo (calcio, vitamina D, fósforo, grasas, proteínas, y retinol) influenciados nuestras estimaciones. El ajuste de estos nutrientes fortaleció aún más la asociación entre el consumo de leche y los resultados (véase el cuadro complementario E).Las asociaciones se mantuvieron robustos después de realizar un análisis más profundo de sensibilidad. En consecuencia, nuestras estimaciones de la ingesta de leche fueron independientes de consumo por parte de leche fermentada y quesos (ver cuadros complementarios F y G). Las estimaciones de la leche fermentada y quesos se atenuaron cuando se ajusta por el consumo de leche y unos a otros (ver cuadros complementarios F y G). Hemos ampliado aún más nuestro segundo modelo multivariable para evaluar la influencia en nuestras estimaciones de ajuste para los nutrientes adicionales que se sabe que los constituyentes de la leche, pero las razones de riesgo sólo cambiaron un 4% o menos.
Para investigar el posible sesgo en la sueca mamografía Cohorte introducido mediante el uso de información actualizada vez en los modelos que llevaron a cabo análisis de sensibilidad adicional. En primer lugar, se incluyeron sólo los datos de línea de base, sin actualizar con la información del segundo cuestionario (ver cuadro complementario H). En segundo lugar, hemos utilizado el segundo cuestionario como base de referencia (véase el cuadro complementario I). Estos análisis indican un mayor riesgo de muerte y de fractura con el consumo elevado de leche, aunque con estimaciones atenuadas en comparación con la ingesta de tiempo actualizado (tabla 2).
El reporte de consumo de leche no parece estar influenciada por las condiciones comórbidas (véase el cuadro complementario J). Así, las mujeres de la cohorte sueca mamografía que habían experimentado una comorbilidad o dos comorbilidades o más en el tiempo de seguimiento entre el primer y el segundo cuestionario de frecuencia de alimentos tuvieron un cambio en el consumo de leche similar a los que no experimentan comorbilidades durante el período. Del mismo modo, las mujeres que tuvieron una fractura antes de que el segundo cuestionario de frecuencia de alimentos no aumentaron su consumo de leche. La notificación de los productos lácteos fermentados no fue afectada por el estado de comorbilidad (ver tabla complementaria J). No se observaron diferencias (P = 0,31) en el consumo de leche entre el 13% de Uppsala Estudio Longitudinal de hombres adultos que informaron de que al menos uno de los padres había tenido una fractura de cadera (1,2 vasos de leche / día, 95% intervalo de confianza 1,0 a 1,3 ) y los que no tienen antecedentes familiares de fractura de cadera (1,3 vaso de leche / d, 1,2 a 1,3). No se encontró un impacto de los eventos de la competencia de la mortalidad de la asociación entre el consumo de leche y fractura de cadera (ver Figura suplementaria B). La incidencia de incidentes no relacionados con fractura de vehículos como consecuencia (n = 1 161 mujeres) no fue mayor entre los que tienen un alto consumo de leche (razón de riesgo 0,96, 95% intervalo de confianza 0,90 a 1,03 por cada vaso de leche).Finalmente, el exceso de tasa de mortalidad asociada con un mayor consumo de leche también fue evidente en ambos sexos sin fractura durante el seguimiento (datos no mostrados).
El consumo de leche, el estrés oxidativo y la inflamación
Además, investigó si la ingesta de leche se asoció con el estrés oxidativo y la inflamación. El consumo de leche se asoció positivamente con 8-iso-PGF2a en ambos sexos, y con interleucina 6 en los hombres (fig 4 ⇓ ). El consumo de productos lácteos fermentados (leche agria y yogur) indica una relación negativa tanto con el estrés oxidativo y los marcadores inflamatorios (ver figura C suplementaria, panel A). No existe tal asociación se observó con la ingesta de queso (ver figura C suplementaria, panel B).
Predicciones Fig 4 Ajustados de registro de orina (8-iso-PGF2a), un marcador de estrés oxidativo, en 892 mujeres (basado en datos de corte transversal, con una edad media 70 años) y 700 hombres, y el registro de suero (interleucina 6), un marcador de la inflamación, en 633 hombres después de la regresión cúbica-spline con el consumo de leche. Los datos correspondientes a los hombres se basan en el consumo de leche evaluado a la edad de 71 años y la medición de marcadores inflamatorios en la edad de 77 años. Las covariables fueron: edad, índice de masa corporal, el consumo de energía, la educación, el tabaquismo y la actividad física. Un vaso de leche corresponde a 200 g
Discusión
Se observó una mayor tasa de dosis dependiente de la mortalidad y la fractura en las mujeres y una mayor tasa de mortalidad en los hombres con la ingesta de leche, un patrón no discernido con otros productos lácteos. El consumo de leche no se asoció con la tasa de fracturas en los hombres. Hubo asociaciones positivas entre el consumo de leche y las concentraciones de marcadores de estrés oxidativo y la inflamación.
Fortalezas y debilidades de este estudio
Nuestros puntos fuertes del estudio incluyen la población diseños prospectivos basados en ambos sexos en un entorno con una gran gama de consumo de leche. Uso de mediciones repetidas de la ingesta alimentaria en el sueco mamografía Cohorte aumentaron la exactitud y precisión de las mediciones sobre la ingesta dietética. Rastreamos los resultados a través de los registros nacionales de salud y vinculación de registros determinista, permitiendo comprobación completa. Además, ajustamos por varias covariables importantes, a pesar de la confusión residual no se puede excluir, por ejemplo, a pesar de que los resultados se ajustaron por algunos aspectos de la situación socioeconómica (educación y estado civil), matices adicionales no han sido capturados adecuadamente por nuestro estudio observacional diseño. Los resultados fueron independientes de nutrientes sin lactosa en la leche. Sin embargo, no consideramos el contenido no-nutricionales de los productos lácteos, tales como contaminantes orgánicos persistentes 49 y metales pesados, 50 pero estos contaminantes se deben concentrar no sólo en la leche, sino también en los productos lácteos fermentados, que nos pareció estar asociado con una reducción tasas de mortalidad y fractura.
Nuestros resultados podrían no aplicarse a personas de otros orígenes étnicos, como los que tienen una alta prevalencia de intolerancia a la lactosa, o para los niños y adolescentes. Las concentraciones de nutrientes en la leche y otros productos lácteos son variables y dependen de factores tales como la fortificación de alimentos, la biosíntesis, la dieta del animal, y las condiciones físico-químicas, 51 que podría afectar a la generalización de nuestros resultados.En teoría, las conclusiones sobre las fracturas podrían explicarse por un fenómeno causalidad inversa, donde las personas con una mayor predisposición para la osteoporosis puede haber aumentado deliberadamente su consumo de leche. Hemos investigado tiempo hasta la primera fractura, lo que reduce la probabilidad de estimaciones sesgadas. Por otra parte, el alto consumo de leche también se relacionó con mayor mortalidad entre los que no tienen una fractura durante el seguimiento. En los análisis no consideramos las fracturas causadas por el cáncer metastásico, pero los casos de fracturas debido a la sospecha de traumatismo de alto impacto fueron, como se recomienda, 36 37 mantuvieron en el análisis, ya que estas fracturas son, como también las fracturas por fragilidad-ordinarios más común en las personas con baja densidad mineral ósea. La posibilidad de una teoría causalidad inversa también se contradice con el hecho de que los productos lácteos fermentados estaban relacionados con un menor riesgo de fractura y que un personal o antecedentes familiares de fractura de cadera no se asoció con un mayor consumo de leche. Además, el cambio en el consumo promedio reportado de leche en la sueca mamografía cohorte durante un largo seguimiento no se vio afectado por el cambio en el estado de comorbilidad. Además, los posibles diseños son más propensos a generar errores de clasificación no diferencial y así atenuar la asociación evaluado. No obstante, no podemos descartar la posibilidad de que nuestro diseño o análisis no lograron captar un fenómeno causalidad inversa.
Comparación con otros estudios
Una alta ingesta de leche se acompaña de un mayor consumo de energía, como se indica por las características basales de los participantes. Sin embargo, los resultados de los dos estudios de cohorte 52 53 y ensayos controlados aleatorios 54 55 muestran que un alto consumo de productos lácteos no se asocia con un aumento de peso o índice de masa corporal a pesar de un mayor consumo de energía. Estos resultados están en línea con el presente estudio donde los que informó de un alto consumo de leche también tenían un mayor consumo de energía, sino un índice de masa corporal similar en comparación con las mujeres y los hombres con una ingesta de leche inferior.
Estudios ecológicos sugieren tasas de mortalidad más altas por enfermedades fractura y cardiopatía isquémica en los países con alto consumo de leche. 56 57Un mayor consumo de leche también se ha sugerido para afectar el riesgo de ciertos tipos de cáncer y enfermedades cardiovasculares. 11 58 59 Meta-análisis de estudios de cohorte en el asociación entre el consumo de leche y la mortalidad 11 y fracturas 12 13 han mostrado una heterogeneidad significativa entre los estudios. En la categoría de mayor consumo de leche, por ejemplo, algunos muestran menores tasas de mortalidad y algunos muestran más alto.Las comparaciones entre los estudios se ven obstaculizados por las diferencias en la gama de exposición, la puesta en común de los diferentes productos lácteos como la exposición, el método utilizado para la evaluación de la dieta, el patrón de dieta general, la prevalencia de intolerancia a la lactosa, la evaluación de resultados, y el tamaño del estudio. Para considerar la totalidad de la evidencia sobre el papel del consumo de leche en la muerte y fracturas, se recomienda que estas diferencias entre los diseños de los estudios son considerados en futuros análisis de metarregresión de los estudios observacionales. Nuestra investigación actual no debe ser evaluada en forma aislada y sus méritos debe ser juzgada a la luz de otros hallazgos del estudio. El hecho de que ningún ensayo aleatorio ha examinado el efecto de la ingesta de leche en la incidencia de la mortalidad y las fracturas, se necesita evidencia experimental a largo plazo para confirmar una relación causal entre el aumento de la ingesta de leche y una mayor mortalidad. Otro enfoque analítico posible podría ser el uso de la variación genética en la persistencia de la lactasa utilizando un diseño de estudio de asignación al azar mendeliana, pero estas variantes genéticas específicas son probablemente débil como una variable instrumental. 60 Además, la relación dosis-respuesta con la ingesta de leche no se observa fácilmente con un diseño tales como tampoco lo es la consideración de tipo de producto lácteo consumido. Estudios anteriores también concluyen que la interacción entre genes y medio ambiente parece ser de importancia para esta expresión de genes específicos, y los efectos pleiotrópicos no pueden ser excluidas. 61 62
Nuestro presente estudio de dos cohortes incluido un mayor número de resultados que el número total de eventos incluidos en el meta-análisis de estudios previos. 11 13 para contrarrestar los errores de clasificación al azar que ocurren en los estudios de cohortes y líder estimaciones de riesgo ante conservadora sesgadas, los estudios con un Se necesita gran número de resultados y también repetir preferentemente evaluaciones dietéticas para reducir la clasificación errónea de la exposición. De hecho, encontramos una fuerte asociación con el consumo de leche y la mortalidad y las fracturas en mujeres que en hombres. Esta desigualdad se podría explicar por las diferencias de sexo reales, sino también por el mayor tamaño de la cohorte al sexo femenino y los cuestionarios de frecuencia de repetición de los alimentos y análisis actualizado de tiempo. Cabe destacar que cuando se aplicó una sola evaluación de la exposición en el análisis de sensibilidad de la mamografía cohorte sueca, mediante el uso de ya sea el primero o el segundo cuestionario de frecuencia de alimentos, las razones de riesgo fueron atenuados en comparación con el análisis de la exposición dependiente del tiempo y fueron también similar a las estimaciones obtenidas en la cohorte masculina. Por lo tanto, la mejora de la validez y la precisión de la exposición es una probable explicación para el mayor riesgo observado en las mujeres.
Leche Comparando con otros productos lácteos
Particularmente notable es que la ingesta de productos lácteos fermentados como el yogur y la leche agria y queso se asociaron con menores tasas de fractura y mortalidad. Asimismo, se observó una asociación positiva entre el consumo de sólo leche y los marcadores de estrés oxidativo (orina 8-iso-PGF2a) e inflamación (suero de interleuquina 6). Anteriormente, hemos encontrado una relación negativa entre la densidad mineral ósea y 8-iso-PGF2a. 42 63 La interleucina 6 parece ser una relación causal con la enfermedad cardiovascular64 y pueden influir en la pérdida ósea y la osteoporosis. 65 Es importante señalar que las personas que consumen altas cantidades de no- leche fermentada tiene un perfil más no favorable factor de riesgo cardiovascular, con una mayor presión arterial, los niveles más bajos de colesterol de lipoproteínas de alta densidad, y una mayor resistencia a la insulina. 18 Por el contrario, el consumo de quesos y productos lácteos fermentados está relacionado con los niveles más altos de colesterol de lipoproteínas de alta densidad , menos resistencia a la insulina, y un menor riesgo de infarto de miocardio. 18 22 23 24Además, una pequeña cruz aleatorizado reciente sobre estudio indicó que la ingesta de una dieta lácteo fermentado parecía proporcionar un perfil de biomarcador más favorable que la de un no- lácteo fermentado dieta. 66
Mecanismo potencial
Un candidato potencial para los resultados discrepantes para diferentes tipos de productos lácteos es el contenido de D-galactosa. La ingesta de D-galactosa a partir de leche no fermentada es considerablemente mayor que el de otras fuentes de alimentos, incluyendo el queso y los productos lácteos fermentados.Las fuentes no lácteas de D-galactosa son principalmente cereales, verduras y frutas, 67 pero la concentración de galactosa y la cantidad ingerida de estas fuentes representa una pequeña proporción de la ingesta total de galactosa.Poner en perspectiva, la cantidad de lactosa en un vaso de leche corresponde a aproximadamente 5 g de galactosa, mientras que la cantidad de 100 g de frutas o verduras 67 se mide en miligramos o decenas de miligramos. D-galactosa se administra a animales de laboratorio (ratones, ratas y moscas Drosophila) es un modelo experimental establecido para el envejecimiento prematuro, incluyendo acortado tiempo de vida causada por el estrés oxidativo y la inflamación crónica,4 5 6 7 pero si este mecanismo se puede generalizar a los seres humanos necesita más apoyo científico. Sin embargo, la galactosemia es un trastorno genético que resulta de una pérdida de galactosa-1P-uridililtransferasa, con acumulación de galactosa en la sangre y otros tejidos como consecuencia. 68 69 Los niños afectados experimentan una rápida escalada de los síntomas agudos potencialmente letales después de la exposición a la leche, y modelos experimentales muestran el estrés oxidativo como un mecanismo para el desarrollo de la enfermedad. 68 Incluso con restricciones dietéticas de la ingesta de galactosa estos pacientes tienen niveles circulantes más altos de galactosa y un mayor riesgo de enfermedades crónicas en la edad adulta, 69 incluyendo la osteoporosis. 70
Conclusión
Un mayor consumo de leche en las mujeres y los hombres no va acompañado de un menor riesgo de fractura y en su lugar puede estar asociada con una mayor tasa de muerte. En consecuencia, no puede haber un vínculo entre la lactosa y galactosa de la leche y el riesgo como se sugiere en nuestra hipótesis, aunque las necesidades de causalidad se sometieron a pruebas de diseños experimentales de estudio. Nuestros resultados pueden cuestionar la validez de las recomendaciones de consumir altas cantidades de leche para prevenir las fracturas por fragilidad. 3 71 72 Los resultados deben, sin embargo, deben interpretarse con cautela dado el diseño observacional de nuestro estudio. Los hallazgos merecen replicación independiente antes de que puedan ser utilizados para las recomendaciones dietéticas.
¿Qué se sabe sobre este tema
- Se recomienda una ingesta elevada de leche para la prevención de fracturas osteoporóticas
- La leche es la fuente principal de la ingesta dietética de galactosa
- La adición de galactosa por inyección o en la dieta es un modelo animal establecido de envejecimiento mediante la inducción de estrés oxidativo y la inflamación
- Los resultados de la investigación previa sobre la importancia de la ingesta de leche para la prevención de fracturas y la influencia en las tasas de mortalidad son contradictorios
Lo que este estudio se suma
- Un alto consumo de leche en ambos sexos se asocia con tasas de mortalidad y de fractura más altas y con mayores niveles de estrés oxidativo y biomarcadores inflamatorios
- Este patrón no se observó con el alto consumo de productos lácteos fermentados
Notas
Citar este como: BMJ 2014; 349: g6015
Notas al pie
- Colaboradores: KM y LB diseñó el estudio y redactó el manuscrito. KM y LB analizaron los datos. LB, SM, SL, SB, Lobby Europeo de Mujeres, y AW contribuido a la interpretación de los datos y la revisión del manuscrito. KM principal responsable de su contenido final y actúa como garante. Todos los autores leído y aprobado el manuscrito final. Los patrocinadores del estudio no tenía papel en el diseño del estudio, la recogida de datos, análisis de datos, interpretación de datos, redacción del informe, o la decisión de enviar el artículo para su publicación.
- Financiación: Este estudio fue apoyado por subvenciones del Consejo de Investigación sueco. Lobby Europeo de Mujeres es empleado por la Agencia Nacional de Alimentos de Suecia. Las opiniones expresadas en este artículo no reflejan necesariamente los de la agencia.
- Conflicto de intereses: Todos los autores han completado el formulario de declaración uniforme ICMJE en www.icmje.org/coi_disclosure.pdf y declarar: sin apoyo de ninguna organización de los trabajos presentados;relaciones financieras con las organizaciones que puedan tener un interés en el trabajo presentado en los tres años anteriores; no hay otras relaciones o actividades que podrían parecen haber influido en la obra presentada.
- La aprobación ética: La sueca mamografía cohorte, el subcohort clínica de la sueca mamografía cohorte, y la cohorte de hombres suecos fueron aprobados por el consejo regional de ética de la investigación en el Karolinska Insitutet. El Estudio Longitudinal de Uppsala de los hombres adultos fue aprobado por la junta regional de ética de investigación en la Universidad de Uppsala. Todos los participantes dieron su consentimiento informado.
- El intercambio de datos: datos de resumen del Estudio Longitudinal de Uppsala de los hombres adultos están disponibles enhttp://www.pubcare.uu.se/ULSAM .
- Transparencia: El autor principal (KM) afirma que el manuscrito es un relato honesto, preciso y transparente del estudio que se informa; que se han omitido no hay aspectos importantes del estudio; y que se han explicado las discrepancias del estudio según lo previsto (y, en su caso, certificado).
Este es un artículo de acceso abierto distribuido de acuerdo con la licencia Creative Commons Reconocimiento No comercial (CC BY-NC 3.0) de licencia, lo que permite a otros distribuir, mezclar, adaptar, ampliar este trabajo para fines no comerciales, y conceder licencias sobre sus obras derivadas de diferentes términos, siempre que la obra original es debidamente citados y el uso no sea comercial. Ver: http://creativecommons.org/licenses/by-nc/3.0/ .





0 comentarios:
Publicar un comentario